Di recente, un team di ricerca dall'ospedale della cina occidentale dell'università del Sichuan ha condotto un'analisi profonda dei dati del rilievo dell'esame della salute e della nutrizione nazionale (NHANES) dal 2009 al 2018, con 19,280 persone. I risultati hanno dimostrato che i fotografi hanno un effetto significativo nel rallentare accelerazioni di invecchiamento fenotipico, con beta-carotene e beta-cryptoxantina che sono particolarmente degne di nota. Questo indica che questi pigmenti naturali hanno un grande potenziale nel campo dell'anti-invecchiamento.

I polisaccaridi sono pigmenti naturali liposolubili ampiamente presenti in alghe, funghi, batteri e piante. Sono stati identificati più del 700 di polisaccaridi naturali. In base alla loro struttura chimica, i probiotici possono essere divisi in due categorie: una che contiene solo elementi di carbonio e idrogeno senza ossigeno (come alfa-carotene, beta-carotene e licopene), E un altro che è composto dai loro derivati ossidati contenenti gruppi funzionali di ossigeno come gruppi idrossilici, keto, carbossilici e metossi (Come luteina e zeaxantina). Tra i disinfettanti che circolano nel sangue umano, sei tipi-alfa-carotene, beta-carotene, b-cryptoxantina, licopene, luteina e zeaxantina-account per oltre il 95%.
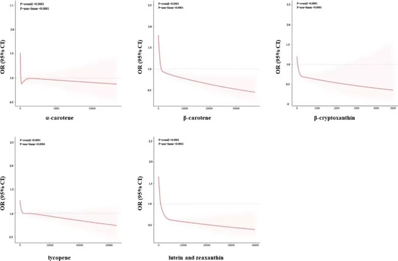
Uno studio basato sul rilievo dell'esame della salute e della nutrizione nazionale (NHANES) i dati esplorano la relazione tra l'assunzione di carotoide alimentare e il processo di invecchiamento biologico. La ricerca ha ottenuto i livelli di aspirazione del carotene attraverso l'analisi dei dati alimentari e l'età biologica valutata utilizzando i metodi PhenoAge e Klemera-doual (KDM).
I risultati hanno dimostrato che i livelli di carotene alimentare più elevati sono stati collegati in modo significativo con un tasso più lento di invecchiamento biologico, il che indica che i polisaccaridi hanno un potenziale effetto anti-età. Ulteriori analisi hanno evidenziato un rapporto non lineare significativo tra i livelli di carotene e l'accelerazione dell'età biologica, che indica che il loro effetto protettivo è migliorato a livelli di aspirazione più elevati.

I risultati della ricerca mostrano che il beta-carotene e la b-cryptoxantina hanno effetti particolarmente importanti nell'anti-invecchiamento. Gli effetti anti-età dei disinfettanti cambiano tra le diverse generazioni. In particolare, le persone più giovani (sotto i 60 anni), le donne, i pazienti con ipertensione e i pazienti con diabete favoriscono in modo più significativo gli alti livelli di aspirazione del carotene, che aiuta a rallentare il processo di invecchiamento biologico.

L'invecchiamento è un complesso processo biologico caratterizzato da un graduale declino delle funzioni fisiologiche e una maggiore sensibilità alle malattie. Lo stress ossidativo e l'infiammazione sono fattori chiave che guidano il processo di invecchiamento. I disinfettanti, a causa della loro struttura molecolare che contiene molti doppi legami coniugati, possiedono forti capacità antiossidanti. Possono neutralizzare efficacemente i radicali liberi e ridurre l'infiammazione, eliminando così le specie di ossigeno reattivo (ROS) come i radicali di perossido e l'ossigeno canotta nel corpo, giocando un ruolo vitale nel promuovere l'invecchiamento sano.
Il potenziale anti-età dei polisaccaridi si basa principalmente sulla loro capacità di promuovere la trasposizione del fattore nucleare fattore eritroide 2 (Nrf2) a cEll nucleus. Una volta che Nrf2 translocates al nucleo, avvia la traslazione di enzimi antiossidanti e disintossicanti. In aggiunta, come dividere le cellule, i loro telomeres si accorciano gradualmente fino alla morte cellulare, e ROS e l'infiammazione accelerano questo accorciamento telomere. È stato detto che un alto consumo alimentare di beta-carotene è collegato a una lunghezza di telomere più lunga.
I disinfettanti, grazie al loro forte potere colorante e alle tonalità stabili, sono ampiamente utilizzati in vari campi, come coloranti per bevande, caramelle e altri alimenti, oltre agli additivi nutrizionali negli alimenti per bambini. I polisaccaridi non solo possiedono attività di vitamina A ma aiutano anche A cardiovascolare e per la salute della pelle. Giocano un ruolo importante nella regolazione fisiologica e nella prevenzione delle malattie nel corpo umano.
I disinfettanti aiutano a proteggere la salute cardiovascolare riducendo all'ossidazione delle lipoproteine a bassa densità (LDL), prevengono lo sviluppo dell'osteoartrite e proteggono le cellule vascolari dai danni ossidativi, mantenendo così la funzione vascolare. Tra questi, il licopene e la luteina hanno vantaggi importanti a questo senso. Una meta-analisi ha scoperto che gli individui con l'assunzione alimentare di licopene presentavano un rischio ridotto del 17% di malattie cardiovascolari. L'effetto della luteina è 15 volte quello del licopene e 10 volte quello del beta-carotene, previene efficacemente la perossidazione dei lipidi.
Il fotoinvecchiamento è principalmente colpito da fattori e manifesti ambientali come riduzione dell'elasticità della pelle, pigmentazione anormale, secchezza e prurito. La radiazione ultravioletta (UV) è un grilletto chiave, accelera l'invecchiamento della pelle attraverso la generazione di specie di ossigeno reattivo (ROS), che turbano le funzioni protettive e riparatrici della pelle. Gli studi hanno dimostrato che l'integrazione con i disinfettanti può prevenire efficacemente la formazione di ROS induciti dai raggi UV. Ad esempio, astaxantina migliora la salute della pelle ed esercita effetti anti-fotoinvecchiamento riducendo i danni ossidativi. Può sopprimere la sintesi della melanina, ridurre la pigmentazione, aumentare l'umidità della pelle e migliorare la pelle secca. La ricerca indica che l'assunzione orale di astaxantina può ridurre le macchie e le rughe dell'età e migliorare l'idratazione e l'elasticità della pelle. L'astaxantina può anche ridurre i danni causati dai raggi UV della pelle, ridurre la perdita di umidità ed rash, e proteggere la salute della pelle.
L'assunzione alimentare di probiotici è presa in conto di una strategia essenziale per prevenire le malattie del fegato grasso analcolico (NAFLD). Il licopene presenta proprietà epatoprotettive contro varie malattie del fegato, tra cui malattie del fegato grasso alcolico e analcolico. Gli effetti protettivi del fegato del licopene staminali principalmente dalle sue forti capacità antiossidanti, che alleviano efficacemente i danni delle cellule induciti dalle specie di ossigeno reattivo (ROS). Gli studi hanno anche dimostrato che il beta-carotene, uno dei più abbondanti flavonoidi nel fegato, mostra effetti epatoprotective. L'aumento dell'aspirazione alimentare del beta-carotene può ridurre in modo significativo il rischio di steatosi epatica e danni delle cellule del fegato mediato senza radicali.
La demenza maculare legata all'invecchiamento (AMD) è una malattia comune che danneggia la visione principalmente a causa di danni da parte dei fotorectors. È arrivata la principale causa di cieca nelle persone di età superiore ai 65 anni. È stato stabilito che entro il 2040, la globalcondition di AMD aumenta a quasi 288 milioni di persone [6].
Le prime espressioni di AMD includono una riduzione della visione, una ridotta sensibilità al contrasto e una ridotta acuità visiva, caratterizzato da un graduale declino della visione funzionale durante la condizione. I polisaccaridi giocano un ruolo chiave nel mantenere la salute e la funzione della regione maculare. Tra i vari fotografi, la luteina e la zeaxantina hanno dimostrato di incrostare la barriera blood-retinica e di amperare nella retina per formare il pigmento maculare, un processo essenziale per la protezione maculare.
In aggiunta, astaxantina, un membro della famiglia della luteina si trova principalmente negli organi marini, si stima che abbia un potenziale effetto protettivo contro i danni e la disfunzione retinica induciti dalla luce. A causa della sua struttura molecolare unica, astaxantina può traversare la membrana del bilanciere cellulare, scavare efficacemente le specie di ossigeno reattivo sia negli strati interni che esterni delle cellule, fornire così un meccanismo di difesa contro lo stress ossidativo per la retina.
Riferimento:
[1] https://link.springer.com/article/10.1007/s10522-024-10160-4
[2] https://www.mdpi.com/1422-0067/24/20/15199
[3] https://pubmed.ncbi.nlm.nih.gov/28318092/
[4] https://pubmed.ncbi.nlm.nih.gov/31605782/
[5] https://pubmed.ncbi.nlm.nih.gov/31904420/
[6] https:// pMuslimate
Sorgente immagine: pixabay, collegamenti: https://pixabay.com/zh/photos/smoothie-fruit-vegetables-1578240/